All content on this site is intended for healthcare professionals only. By acknowledging this message and accessing the information on this website you are confirming that you are a healthcare professional. If you are a patient or carer, please visit Know AML.
The AML Hub website uses a third-party service provided by Google that dynamically translates web content. Translations are machine generated, so may not be an exact or complete translation, and the AML Hub cannot guarantee the accuracy of translated content. The AML Hub and its employees will not be liable for any direct, indirect, or consequential damages (even if foreseeable) resulting from use of the Google Translate feature. For further support with Google Translate, visit Google Translate Help.
The AML Hub is an independent medical education platform, sponsored by Daiichi Sankyo, Johnson & Johnson, Syndax, Thermo Fisher Scientific, Kura Oncology, and AbbVie. Funders are allowed no direct influence on our content. The levels of sponsorship listed are reflective of the amount of funding given. View funders.
Now you can support HCPs in making informed decisions for their patients
Your contribution helps us continuously deliver expertly curated content to HCPs worldwide. You will also have the opportunity to make a content suggestion for consideration and receive updates on the impact contributions are making to our content.
Find out more
Create an account and access these new features:
Bookmark content to read later
Select your specific areas of interest
View AML content recommended for you
Allogeneic hematopoietic stem cell transplantation (allo-HSCT) is a potentially curative treatment for patients with myelodysplastic syndromes (MDS).1 To assess the impact of the presence of high-risk mutations on outcomes following allo-HSCT, Versluis et al.1 performed a genetic analysis of the Blood and Marrow Transplant Clinical Trials Network (BMT CTN) 1102 trial. Findings were recently published in the Journal of Clinical Oncology which we are pleased to summarize below.
Table 1. Most common somatic gene mutations in patients in the BMT CTN 1102 trial with samples available*
|
BMT CTN, Blood and Marrow Transplant Clinical Trials Network. |
|||
|
Gene mutation frequency, % |
Donor arm |
No donor arm |
p value |
|---|---|---|---|
|
≥ 1 mutation |
88 |
|
|
|
TP53 |
28 |
29 |
0.89 |
|
ASXL1 |
23 |
29 |
0.37 |
|
SRSF2 |
16 |
16 |
0.99 |
|
DNMT3A |
17 |
10 |
0.20 |
Figure 1. 3-year OS by gene mutations present in patients in the BMT CTN 1102 trial*

BMT CTN, Blood and Marrow Transplant Clinical Trials Network; OS, overall survival; PTD, partial tandem duplication.
*Data from Versluis et al.1
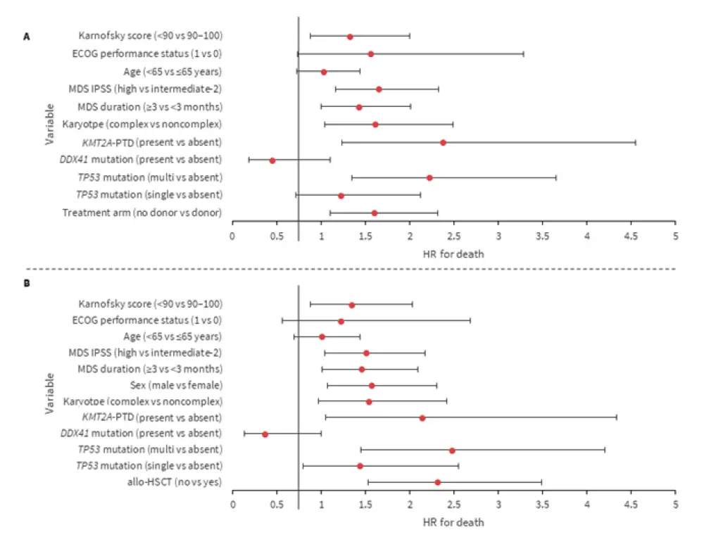
Multivariable analysis found (Figure 2):
In addition, allo-HSCT time-dependent covariate analysis revealed:
Figure 2. A: Multivariable analysis of OS (donor vs no donor), after adjustment for covariates. B: Multivariable analysis of OS (allo-HSCT as a time-dependent covariate)*

Allo-HSCT, allogeneic hematopoietic stem cell transplantation; ECOG, Eastern Cooperative Oncology Group; HR; hazard ratio; IPSS; International Prognostic Scoring System; MDS, myelodysplastic syndromes; OS, overall survival; PTD, partial tandem duplication.
*Adapted from Versluis et al.1
Allo-HSCT can be beneficial in patients with high-risk MDS, including patients with TP53 mutations.
References
Please indicate your level of agreement with the following statements:
The content was clear and easy to understand
The content addressed the learning objectives
The content was relevant to my practice
I will change my clinical practice as a result of this content